Abstract
Background
Multiple myeloma (MM) evolves from monoclonal gammopathy of undetermined significance (MGUS), a clinically detectable but asymptomatic premalignant phase seen in ~3% of the general population 50 years of age or older. The prevalence of MGUS has not been described in a population at high risk of developing MM, specifically Black/African American (AA) individuals or first-degree relatives of patients with hematologic malignancies (HM). In 2019, we launched the first nationwide US screening study for individuals at high risk of MM to help better identify what population would benefit most from screening and early intervention for precursor MM stages. We aim to assess the prevalence of MGUS in a population at high risk of MM and characterize clinical variables of individuals who screen positive. Here, we report interim screening data on the first 2,960 participants.
Methods
Individuals aged 40 or older with an additional MM risk factor are eligible to be screened in the PROMISE Study. High-risk individuals include Black/AAs and those with a first-degree relative diagnosed with a hematologic malignancy or a precursor condition to MM. Blood from all participants was analyzed via serum protein electrophoresis, immunofixation, and Optilite® to measure the serum free light chains (sFLC), IgG, IgA and IgM. Results were returned to all participants, and those who tested positive for a monoclonal gammopathy (MGUS/SMM) were referred to a hematologist for clinical follow-up and invited to periodically complete epidemiologic exposure and psychosocial questionaries, including a 4-item cancer worry questionnaire and the RAND 36-item Short Form Survey (SF-36).
To investigate the use of the higher-sensitivity matrix-assisted laser desorption ionization-time of flight mass spectrometry (MALDI-TOF MS) with the Optilite® IgG, IgA, IgM and sFLC results as a screening test for all participants, we rescreened 1,092 samples from PROMISE. The Binding Site Group proprietary software was used for the analysis of the combined MS/Optilite® results, allowing for the detection and quantification of M-protein. Heavy-Chain MGUS (HC-MGUS) was defined by the presence of one or more paired heavy and light chain monoclonal peaks detected by MS. Pairing was based on mass to charge ratio of identified peaks.
To enrich the PROMISE cohort with Black/AA individuals, we identified and screened 1,868 Black/AA additional individuals from the Mass General Brigham (MGB) Biobank who met the PROMISE enrollment criteria. Screening was performed by MS/Optilite®, and results have not been returned to participants.
Results
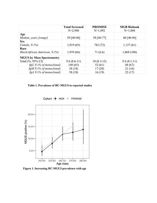
We screened 2,960 participants with the combined MS/Optilite® approach. We report here the prevalence of HC-MGUS and plan on presenting the estimated rate of light chain MGUS in our cohort, at the meeting. We detected HC-MGUS in 9.6% (95% CI: 8.6-11%) of our cohort, with a prevalence of 10% (95% CI: 8.3-12%) in the PROMISE cohort and 9.4% (95% CI: 8.1-11%) in the MGB cohort (Table 1 and Figure 1). HC-MGUS prevalence increased with age in high-risk individuals from 4.9% (CI: 3.3-6.9%) for participants aged 40-49 to 13% (CI: 10-17%) in the 70-79 range (P < 1.2E-5). Among monoclonal HC-MGUS, we found 65% IgG, 18% IgM, and 18% IgA. M-spike was quantified in 97% of samples. Median M-spike concentration was, 0.058g/dL (max. 2.6g/dL) for IgG, 0.0043g/dL (max. 0.6g/dL) for IgM, and 0.067g/dL (max. 0.8g/dL) for IgA.
In the Promise cohort, no significant change in cancer worry was observed across the pre- and post-screening interval among participants who screened positive (P = 0.52). Health-related quality of life, as measured by the SF-36, was not significantly different in screen-positive vs. screen-negative individuals for any of the eight subscales (all P > 0.20).
Conclusions
We present the largest dataset on monoclonal gammopathy prevalence and screening in individuals at high risk for MM, and more specifically the largest cohort of Black/AA, using a novel high-sensitivity testing approach. Our results confirm that older adults who are Black/AA or have a first-degree relative with an HM have a high prevalence MGUS and may benefit from precision screening approaches to allow for early detection and clinical intervention. Preliminary data on cancer worry and quality of life indicates that the psychosocial burden of screening in this population is likely minimal.
Sakrikar: The Binding Site: Current Employment. Krause: The Binding Site: Current Employment. Barnidge: The Binding Site: Current Employment. Bustoros: Takeda: Consultancy, Honoraria; Janssen, Bristol Myers Squibb: Honoraria, Speakers Bureau. Perkins: The Binding Site: Current Employment. Harding: The Binding Site: Current Employment, Membership on an entity's Board of Directors or advisory committees, Patents & Royalties. Kapoor: Ichnos Sciences: Research Funding; Amgen: Research Funding; Pharmacyclics: Consultancy; Takeda: Research Funding; Sanofi: Consultancy; Regeneron Pharmaceuticals: Research Funding; AbbVie: Research Funding; BeiGene: Consultancy; Sanofi: Research Funding; Karyopharm: Research Funding; Glaxo SmithKline: Research Funding; Karyopharm: Consultancy; Cellectar: Consultancy. Mo: Sanofi: Honoraria, Membership on an entity's Board of Directors or advisory committees; GSK: Consultancy, Membership on an entity's Board of Directors or advisory committees; BMS: Membership on an entity's Board of Directors or advisory committees; Epizyme: Consultancy; Eli Lilly: Consultancy; Janssen: Honoraria; Karyopharm: Honoraria, Membership on an entity's Board of Directors or advisory committees. Murray: The Binding Site: Patents & Royalties: Potential Royalties for use of mass spectrometry in M-protein detection. Getz: Scorpion Therapeutics: Consultancy, Current holder of individual stocks in a privately-held company, Membership on an entity's Board of Directors or advisory committees; IBM, Pharmacyclics: Research Funding. Marinac: JBF Legal: Consultancy; GRAIL Inc: Research Funding. Ghobrial: AbbVie, Adaptive, Aptitude Health, BMS, Cellectar, Curio Science, Genetch, Janssen, Janssen Central American and Caribbean, Karyopharm, Medscape, Oncopeptides, Sanofi, Takeda, The Binding Site, GNS, GSK: Consultancy.

This feature is available to Subscribers Only
Sign In or Create an Account Close Modal